WebMaster : O.GRAS

Enseignant Sc. Physiques CPGE spé PSI

Création du site :1er juin 2020

Mise à jour : 10 janvier 2026

Semaine calendaire 50 du 8 au 14 décembre 2025

 

Programme de la semaine


Devoir surveillé de physique chimie samedi 7h45-11h45 jusqu’au dernier programme de colle 10



Interro mardi : sur programme de colle 10 et 11+ questions de cours + questions 24, 40 et 42 du corrigé du DS 2



SOMMAIRE : 

- programme officiel

- programme de colle 11

- planning de la semaine

- formulaire vectoriel


Hors colle et DS

Programme officiel PSI pour la semaine ainsi que pour la colle 11 et le DS

Hors colle et DS

Théorème de Ferraris

Hors colle et DS

Chimie, notion de potentiel chimique

Hors colle et DS

Hors colle et DS

Lois de Le Châtelier

Programme de colle

                   Programme 11 de colle de Physique-Chimie :

SAVOIR : 


 —chimie :  identités thermodynamiques (dH, dG), expression de S en fonction de la dérivée de G par T, relation de Gibbs-Helmholtz, dG négatif démontré pour une réaction spontanée, potentiel chimique et enthalpie libre molaire, identité d’Euler, relation de Gibbs-Duhem, volume molaire et entropie molaire en fonction des dérivée du potentiel chimique, démonstration : la quantité d’une espèce diminue si son potentiel chimique est plus élevé + idem pour l’action de la pression ou le sens des échanges thermiques. Equilibre = égalité des potentiels chimiques + activité d’une espèce (gaz, liquide, solide, solvant) + enthalpie libre standard de réaction à l’équilibre.

+ lien entre la constante de réaction de l’enthalpie libre de réaction, relations de Gibbs-Helmholtz + détermination de l’avancement + quotient de réaction Q , prévision du sens d’évolution d’une réaction par le rapport K/Q 


Plus tard :  lois de Le Châtelier



dipôle électrostatique p : expression du potentiel V et du champ E (8bis)

— champ magnétique B dans le cas statique, Biot et Savart, conservation du flux, équation locale de Maxwell-Ampère dans le cas statique + cas du théorème d’Ampère

ARQS : loi de conservation de la charge, les 4 équations de Maxwell, équation de Maxwell Gauss pour calculer un champ E avec l’expression de div(), équation de Maxwell Ampère pour calculer un champ B avec l’expression de rot()

- équations de Maxwell : loi de Lenz-Faraday, champ magnétique imposé dans un isolant par un champ E extérieur  sinusoïdal, rappel des rails de Laplace avec résistance + cas avec une bobine, relations de passage pour E et B données, loi de Lenz et tension aux bornes d’une bobine idéale + notion d’inductance L, cas de l’induction pour une spire tournante dans B fixe, effet Joule microscopique, courants de FOUCAULT (calculs pour un cylindre et puissance dissipée par effet Joule) + cas des plaques à induction de la cuisine.

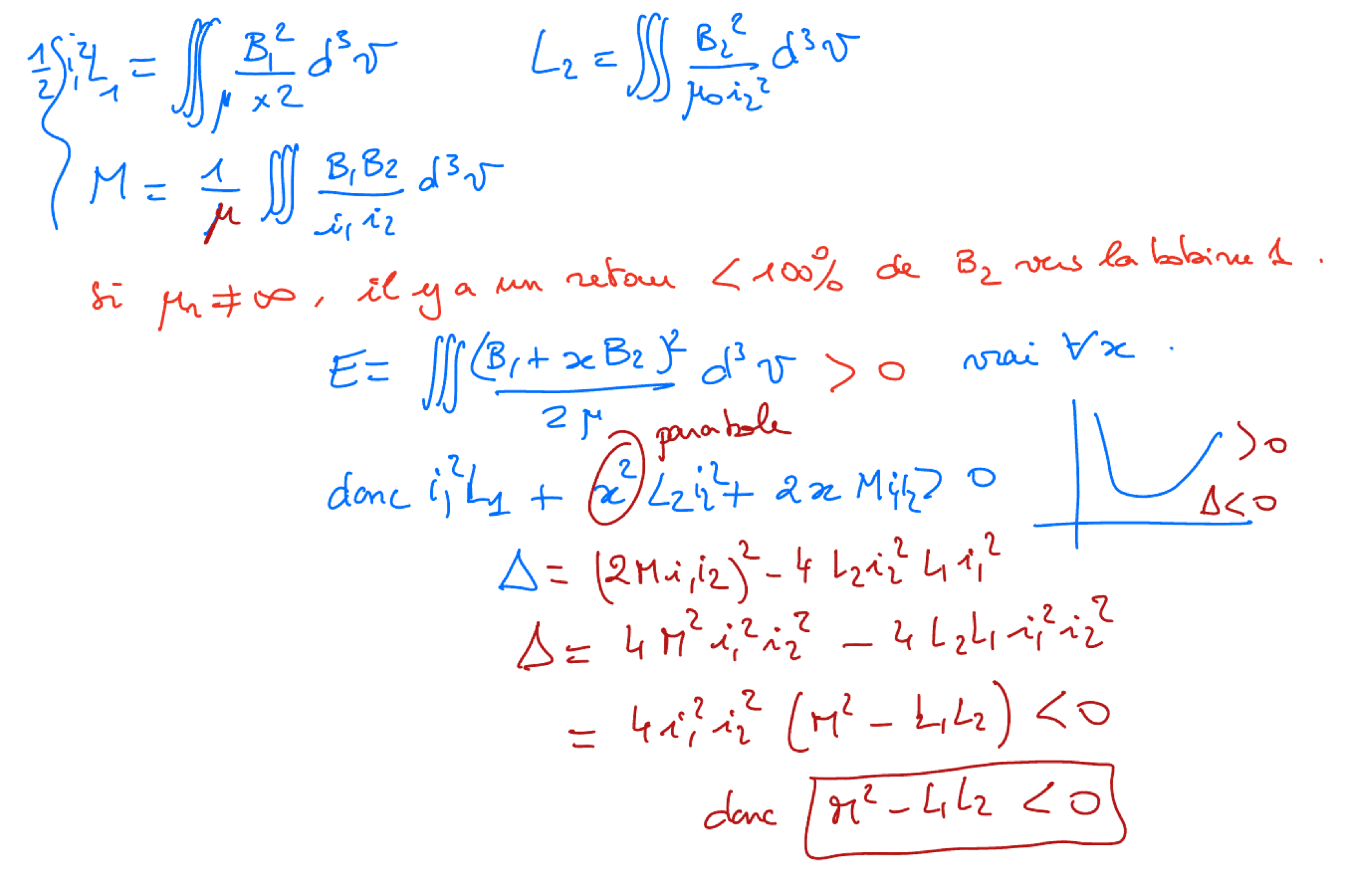
- vecteur de Poynting, cas de la résistance cylindrique, énergie volumique  électromagnétique (Pas encore les définitions complètes de L et de la mutuelle M)

- milieu magnétique : cycle d’hysteresis + pertes par hysteresis, champ rémanent, champ coercitif, effet mémoire, définition de H et M + le cas idéal (cours et TP) du  transformateur avec relations en tensions et courants + adaptation d’impédance.

- Circuits magnétiques : notion de réluctance R, de flux magnétique et loi de Hopkinson (semblable à la loi d’Ohm), associations série et parallèle de réluctances, notion d’entrefer et de champ amplifié dans le matériau et/ou dans l’entrefer, analogie avec les ALI.

- Champ dans l’entrefer d’un moteur synchrone + cas de plusieurs spires décalées en angle = champ d’entrefer en sinus comme cas limite

Plus tard :

- Moteur synchrone : expression du couple exercé sur un dipôle magnétique soumis à un champ B tournant, champ tournant créé par une bobine ou deux bobines alimentées en courant sinusoïdal.


Questions de cours pour la colle

Les 6 questions de cours : 

1- établir l’expression du potentiel chimique d’un gaz en fonction de T et P à partir des dérivées de ce potentiel chimique

2- calcul de la résistance R d’un cylindre à partir du vecteur densité de courant + cas d’un tronc de cône

3- dosage d’une di-base faible par un acide fort

4-  montage soustracteur à ALI

5- version rapide du potentiel V d’un dipôle électrostatique

6- justification du spectre de Fourier associé à la fonction « échantillonneur-bloqueur »

Physique-Chimie-TIPE- TP-Python


lundi 8h à 11h00 :  

Poly 19  :  moteur synchrone
Cours   













mardi 10h00 à 11h30

Chimie  + interro





  • mercredi 8h-10h et 10h-12h :
    Poly    :
    TP-cours = les hacheurs 






  • mercredi 12h-13h rien



  • mercredi 16h-18h

    Poly 22   :  convertisseur continu
    Cours (suite)




  • mercredi 14h-16h : TIPE.



  • jeudi 10h-11h30 :
    fin
    Cours + TD

Formulaire vectoriel

Compléments : 

CHIMIE  : sujet de concours

Femme écrivant Sur Un Tableau Blanc

Fait en TP-cours

TD  (sujet CCINP PSI) : l’essentiel

Exercice trouvé sur Internet : l’essentiel sur les milieux

Test sur les hacheurs-série : sujet de concours