WebMaster : O.GRAS

Enseignant Sc. Physiques CPGE spé PSI

Création du site :1er juin 2020

Mise à jour : 10 janvier 2026

Semaine calendaire 49 du 2 au 8 décembre 2024

 

SOMMAIRE : 

- programme officiel

- programme de colle 

- planning de la semaine

- formulaire vectoriel

- corrigé du sujet de Chimie sur les équilibres chimiques


Programme de la semaine




Interro jeudi sur :

- le programme de colle 10 


Devoir maison : dimanche en PDF pour lundi prochain (avant le DS)


Liens vers les PDF : 


- poly 19 sur les machines synchrones  (MS)


- TD 19 sur les MS


Programme officiel PSI

Cette semaine en cours : 

Théorème de Ferraris

Chimie, notion de potentiel chimique

Hors colle et DS

Cette semaine en cours : 

Lois de Le Châtelier

Programme de colle

                   Programme 10 de colle de Physique-Chimie :

SAVOIR : 

 —chimie :  identités thermodynamiques (dH, dG), expression de S en fonction de la dérivée de G par T, relation de Gibbs-Helmholtz, dG négatif démontré pour une réaction spontanée, potentiel chimique et enthalpie libre molaire, identité d’Euler, relation de Gibbs-Duhem, volume molaire et entropie molaire en fonction des dérivée du potentiel chimique, démonstration : la quantité d’une espèce diminue si son potentiel chimique est plus élevé + idem pour l’action de la pression ou le sens des échanges thermiques. Equilibre = égalité des potentiels chimiques + activité d’une espèce (gaz, liquide, solide, solvant) + enthalpie libre standard de réaction à l’équilibre.

+ lien entre la constante de réaction de l’enthalpie libre de réaction, relations de Gibbs-Helmholtz 

Pas encore  : détermination de l’avancement + quotient de réaction Q , prévision du sens d’évolution d’une réaction par le rapport K/Q (1ère année)

Et lois de Le Châtelier

condensateurs : cas plan et cylindrique, expression la capacité C (10)

dipôle électrostatique p : expression du potentiel V et du champ E (8bis)

— champ magnétique B dans le cas statique, Biot et Savart, conservation du flux, équation locale de Maxwell-Ampère dans le cas statique + cas du théorème d’Ampère

ARQS : loi de conservation de la charge, les 4 équations de Maxwell, équation de Maxwell Gauss pour calculer un champ E avec l’expression de div(), équation de Maxwell Ampère pour calculer un champ B avec l’expression de rot()

- équations de Maxwell : loi de Lenz-Faraday, champ magnétique imposé dans un isolant par un champ E extérieur  sinusoïdal, rappel des rails de Laplace avec résistance + cas avec une bobine, relations de passage pour E et B données, loi de Lenz et tension aux bornes d’une bobine idéale + notion d’inductance L, cas de l’induction pour une spire tournante dans B fixe, effet Joule microscopique, courants de FOUCAULT (calculs pour un cylindre et puissance dissipée par effet Joule) + cas des plaques à induction de la cuisine.

- vecteur de Poynting, cas de la résistance cylindrique, énergie volumique  électromagnétique (Pas encore les définitions complètes de L et de la mutuelle M)

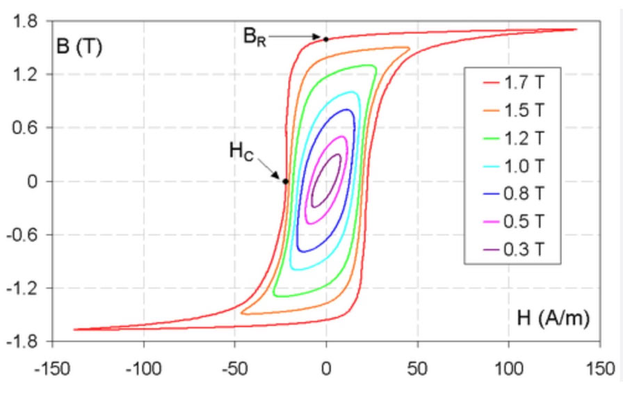
- milieu magnétique : cycle d’hysteresis + pertes par hysteresis, champ rémanent, champ coercitif, effet mémoire, définition de H et M + le cas idéal (cours et TP) du  transformateur avec relations en tensions et courants + adaptation d’impédance.

- Circuits magnétiques : notion de réluctance R, de flux magnétique et loi de Hopkinson (semblable à la loi d’Ohm), associations série et parallèle de réluctances, notion d’entrefer et de champ amplifié dans le matériau et/ou dans l’entrefer, analogie avec les ALI.


Questions de cours pour la colle

Les 6 questions de cours : 

1- établir l’expression du potentiel chimique a d’un gaz en fonction de T et P à partir de l’intégration dess dérivées de ce potentiel chimique

2- calcul de la résistance R d’un cylindre à partir du vecteur densité de courant puis d’un tronc de cône

3- calcul des concentrations pour un mélange initial d’un ion central M + du ligand L (K de la constante , tableau d’avancement, concentrations)

4-  exemple simple du calcul du champ B d’un cylindre creux (R_1 et R_2 parcouru en volume par \vec j (et globalement par un courant I)

5- version rapide du calcul du potentiel V d’un dipôle p=q NP électrostatique

6- justification des spectres successifs de Fourier associé à la fonction « échantillonneur-bloqueur » (Dirac, échantillonnage de durée \tau, échantillonnage bloqueur de durée Te)

Physique-Chimie-TIPE- TP-Python


lundi 8h à 11h00 :  

Poly  18  :  TD 
Poly19 : moteur synchrone 







mardi 10h00 à 11h30

  Équilibres chimiques






  • mercredi 8h-10h et 10h-12h :
    TP : transformateur dans le cas réel (non idéal)
     






  • mercredi 12h-13h rien



  • mercredi 16h-18h

    Poly   19 : moteur synchrone
    Cours + TD





  • mercredi 16h-18h : TIPE.





  • jeudi 10h-11h30 :
    Poly   19 : moteur synchrone
    (fin)

Formulaire vectoriel

Exercices corrigés : 

Femme écrivant Sur Un Tableau Blanc

Milieu magnétique — Inductance propre L de bobine