WebMaster : O.GRAS

Enseignant Sc. Physiques CPGE spé PSI

Création du site :1er juin 2020

Mise à jour : 10 janvier 2026

Semaine calendaire 51 du 15 au 21 décembre 2025

 

Programme de la semaine

SOMMAIRE : 

- programme officiel

- programme de colle 12

- planning de la semaine

- images MCC

- magnéton de Bohr

- HACHEURS

Hors colle

Programme officiel PSI pour la semaine ainsi que pour la colle 12 

Interro  : pas cette semaine , décalée à la rentrée 


Devoir pour la rentrée + un sujet optionnel PSI*

Et exercices à rédiger


Interro à la rentrée, sur le programme de révision


Rentrée : Bilan des voeux d’inscription aux Concours


Rentrée : Rédaction MCOT et avancement du TIPE afin de pouvoir repositionner chaque sujet





Hors colle

Hors colle

Hors colle

Théorème de Ferraris

Chimie, notion de potentiel chimique

Hors colle

Hors colle

Lois de Le Châtelier

Programme de colle

                   Programme 12 de colle de Physique-Chimie :

SAVOIR : 


 —chimie :  identités thermodynamiques (dH, dG), expression de S en fonction de la dérivée de G par T, relation de Gibbs-Helmholtz, dG négatif démontré pour une réaction spontanée, potentiel chimique et enthalpie libre molaire, identité d’Euler, relation de Gibbs-Duhem, volume molaire et entropie molaire en fonction des dérivée du potentiel chimique, démonstration : la quantité d’une espèce diminue si son potentiel chimique est plus élevé + idem pour l’action de la pression ou le sens des échanges thermiques. Equilibre = égalité des potentiels chimiques + activité d’une espèce (gaz, liquide, solide, solvant) + enthalpie libre standard de réaction à l’équilibre.

+ lien entre la constante de réaction de l’enthalpie libre de réaction, relations de Gibbs-Helmholtz + détermination de l’avancement + quotient de réaction Q , prévision du sens d’évolution d’une réaction par le rapport K/Q 

Pas encore les  lois de Le Châtelier



dipôle électrostatique p : expression du potentiel V et du champ E (8bis)

ARQS : loi de conservation de la charge, les 4 équations de Maxwell, équation de Maxwell Gauss pour calculer un champ E avec l’expression de div(), équation de Maxwell Ampère pour calculer un champ B avec l’expression de rot()

- équations de Maxwell : loi de Lenz-Faraday, champ magnétique imposé dans un isolant par un champ E extérieur  sinusoïdal, rappel des rails de Laplace avec résistance + cas avec une bobine, relations de passage pour E et B données, loi de Lenz et tension aux bornes d’une bobine idéale + notion d’inductance L, cas de l’induction pour une spire tournante dans B fixe, effet Joule microscopique, courants de FOUCAULT (calculs pour un cylindre et puissance dissipée par effet Joule) + cas des plaques à induction de la cuisine.

- vecteur de Poynting, cas de la résistance cylindrique, énergie volumique  électromagnétique (Pas encore les définitions complètes de L et de la mutuelle M)

- milieu magnétique : cycle d’hysteresis + pertes par hysteresis, champ rémanent, champ coercitif, effet mémoire, définition de H et M + le cas idéal (cours et TP) du  transformateur avec relations en tensions et courants + adaptation d’impédance.

- Circuits magnétiques : théorème d’Ampère, notion de réluctance R, de flux magnétique et loi de Hopkinson (semblable à la loi d’Ohm), associations série et parallèle de réluctances, notion d’entrefer et de champ amplifié dans le matériau et/ou dans l’entrefer, analogie avec les ALI.

- Moteur synchrone : expression du couple exercé sur un dipôle magnétique soumis à un champ B tournant, champ tournant créé par une bobine ou deux bobines alimentées en courant sinusoïdal. Energie dans l’entrefer : parfois donnée et calcul du couple ensuite.


- A la rentrée :  HACHEUR série (dévolteur) : cours et exemples sur le bloc de deux interrupteurs, lissage par une bobine, cas du courant i sans interruption, modèle à haute fréquence linéarisé, établissement du courant dans R et des pentes à partir des équations différentielles selon l’intervalle de temps (en fonction du taux de hachage \alpha), utilisation des pentes pour établir l’expression de la fluctuation de courant, utilisation de la tension moyenne nulle aux bornes de L pour démontrer l’expression de la tension moyenne aux bornes de R


Questions de cours pour la colle

Les 6 questions de cours : 

1- modulation et démodulation AM d’amplitude par détection synchrone

2- champ magnétique B dans un entrefer d’électroaimant (cas général puis simplification avec la perméabilité relative infinie)

3- dosage d’un dibase faible par un acide fort (sup)

4-  montage oscillateur à relaxation à ALI : schéma et période T

5- les grandes lignes de la puissance dissipée par courants de Foucault : cylindre conducteur, champ B(t), E(r,t) induit donc j(r,t) donc puissance de type Joule

6- principe d’un dosage conductimétrique (sup) et tracé

Physique-Chimie-TIPE- TP-Python


lundi 8h à 11h00 :  

Poly   :  Hacheurs, autres exemples
TD   

FRESNEL + magnéton de Bohr


lundi 16h à 18h00 :  

Créneau de questions sur l’orientation   


mardi 10h00 à 11h30

fin de la chimie (déplacement d’équilibre)







  • mercredi 8h-10h et 10h-12h :
    TP    :  HACHEUR
      



  • mercredi 12h-13h rien



  • mercredi 14h-16h

    Poly   :  Hacheurs
    Exemples 


  • mercredi 14h-16h : TIPE  + créneaux de questions sur l’orientation


  • jeudi 10h-11h30 :
    Poly 22   :  MCC
    Cours + TD












  • INTERRO sur le hacheur : annulée = décalée à la rentrée

Illustrations MCC

Compléments : 

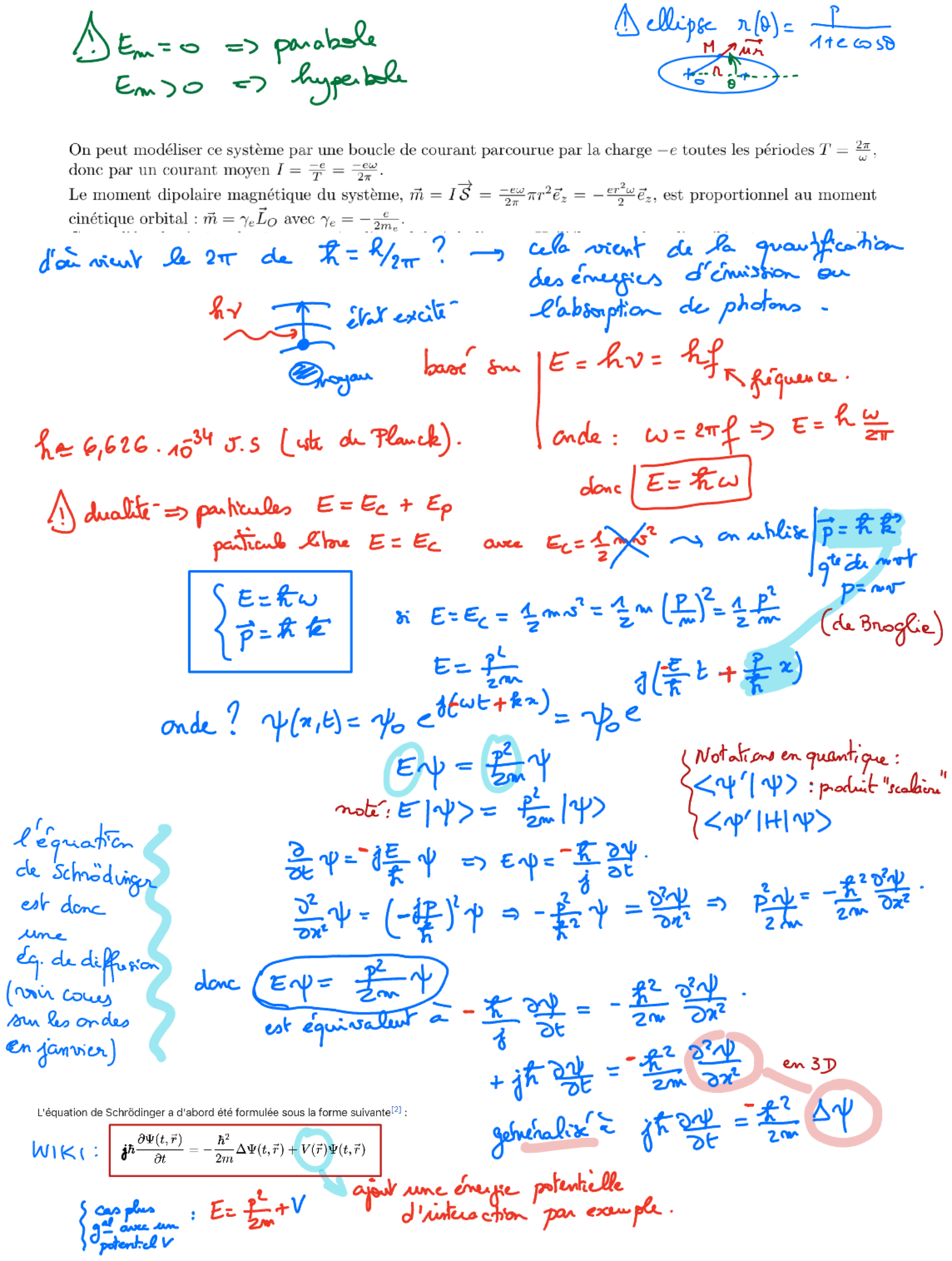
Magnéton de BOHR : quantification du moment dipolaire magnétique.


C’est la partie élémentaire du 1er terme de la somme qui définit le moment magnétique total d’un atome :

Femme écrivant Sur Un Tableau Blanc

TP sur les hacheurs :