SOMMAIRE : 


- programme officiel


- programme de la semaine 


- exercices

 



WebMaster : O.GRAS

Enseignant Sc. Physiques CPGE spé PSI

Création du site :1er juin 2020

Mise à jour : 28 mars 2026

Objectifs

Semaine calendaire 12 

du  16 au 22 mars 2026

 

















REVISIONS DE THERMODYNAMIQUE POUR LA SEMAINE PROCHAINE

LIENS RAPIDES DANS LA PAGE

Programme officiel PSI  pour les dernières semaines 

Hors colle

Hors colle

Hors colle

Hors colle

Chimie

Hors colle

Pas encore

Physique-Chimie-TIPE- TP-Python


lundi 8h à 11h :  

Poly   :  

33-viscosité 







mardi 8h00 à 10h00 :  physique
mardi 10h00 à 11h30

Physique

33-viscosité 

34-conduites 


Mercredi 8h à 12h :  

TD 33/34  


Mercredi 14h à 16h :  

34-conduites 


 Mercredi 16h à 18h :  

TIPE

Jeudi 8h à 11h30 :  

34-conduites 

Corrigés des épreuves de Physique-Chimie et Modélisation

Corrigé de 

Modélisation

Corrigé de 

PhysiqueChimie

Programme de colle

                   Programme 20 de colle de Physique-Chimie :

CHIMIE :  

 révisions sur l’oxydo-réduction : tracé de diagramme E-pH, calcul d’une pente, calcul de pH de limite de domaine.

Ajout de la 2e année : enthalpie libre de réaction et sa relation avec -n.F.E, calcul de constante de réaction entre deux couples en fonction de la différence de potentiel standard  

- courbes intensité potentiel :

Identifier le caractère lent ou rapide d'un système à partir des courbes courant-potentiel. Identifier les espèces électro-actives pouvant donner lieu à une limitation en courant par diffusion. Identifier des paliers de diffusion limite sur des relevés

expérimentaux.

Tracer l'allure de courbes courant-potentiel de branches d'oxydation ou de réduction à partir de données fournies, de potentiels standard, concentrations et sur-potentiels.

Piles (Vu) - Electrolyseurs (juste en cours).

- corrosion et protection contre la corrosion

Corrosion uniforme en milieu acide ou en milieu neutre oxygéné : potentiel de corrosion, courant de corrosion.

Corrosion d'un système de deux métaux en contact.

Protection contre la corrosion:

- revêtement ;

- anode sacrificielle;

- protection électrochimique par potentiel et courant imposé.

- phénomène de PASSIVATION


PHYSIQUE

- loi de diffusion : cas de la diffusion de particules et du modèle de FICK

Loi de Fick, équation de la diffusion de particules

- loi de diffusion thermique : cas de la diffusion thermique et du modèle de FOURIER

Loi de Fourier, équation de la chaleur, résistance thermique, ARQS thermique, équivalent avec un circuit RC électrique

- cinématique des fluides 

Champ eulérien des vitesses.  Dérivée particulaire du vecteur vitesse : terme

local ; terme convectif. Débits massique et volumique. Conservation de la masse.

Écoulement stationnaire. Ecoulement incompressible ou irrotationnel. 

- statique des fluides 

Loi de statique avec le gradient, pression dans un gaz, pression dans un liquide, tube en U, pression sur un barrage vertical, expérience de Toricelli, modèle de l’atmosphère isoT en démontrant l’exponentielle de Boltzmann

Questions de cours pour la colle

Les 6 questions de cours : 


1- tracé du cycle d’hysteresis d’un matériau magnétique

2- Exprimer les conditions théoriques (gain et fréquence) d'auto-oscillation sinusoïdale d'un système linéaire bouclé. Analyser sur l'équation différentielle l'inégalité que doit vérifier le gain de l'amplificateur afin d'assurer le démarrage des oscillations.

3- Relier l'existence du potentiel scalaire électrique au caractère irrotationnel du champ électrique. Exprimer une différence de potentiel comme une circulation du champ électrique.

4- Dipôle électrostatique, moment dipolaire. Champ et potentiel créés par un dipôle

électrostatique.

5- Rails de Laplace : cas avec R connecté aux rails, puis R avec un générateur U

6- Potentiel chimique du corps pur.  Identifier le potentiel chimique d'un corps pur à son enthalpie libre molaire. Expression pour le gaz parfait ou le soluté.

Exercices de STATIQUE des FLUIDES

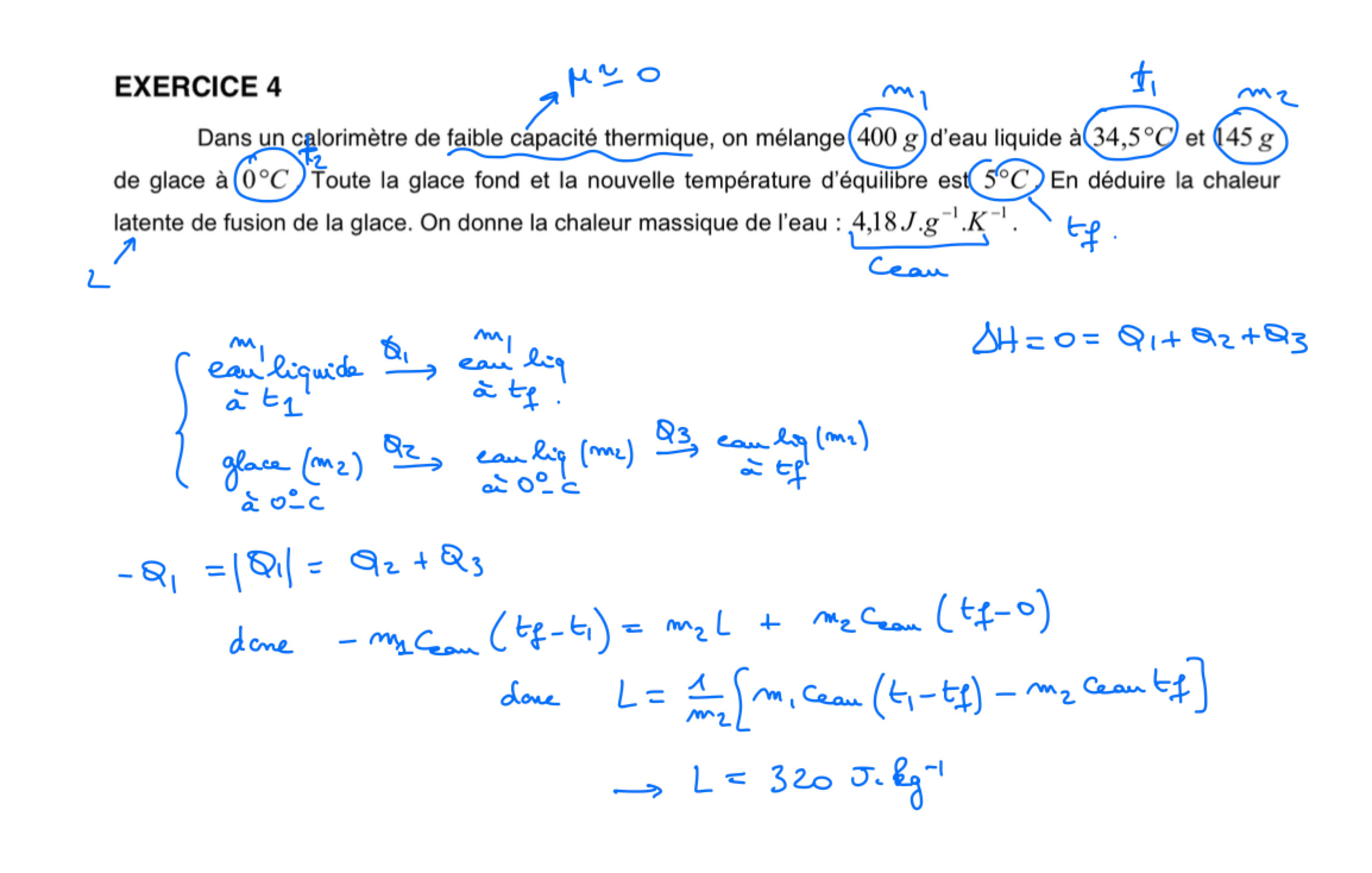
Révision de THERMODYNAMIQUE

Exercices de DIFFUSION THERMIQUE

Exercices pour les chapitres 33 et 34