WebMaster : O.GRAS

Enseignant Sc. Physiques CPGE spé PSI

Création du site :1er juin 2020

Mise à jour : 28 mars 2026

Semaine calendaire 11 

du  9 au 15 mars 2026

 

SOMMAIRE : 


- objectifs


- programme officiel


- programme de la semaine 


- révisions

 



Objectifs




  • TIPE : je tiens à récupérer un bilan pour chaque sujet (avancement des expériences, modifications de la bibliographie), à m’envoyer par e-mail en réponse à l’e-mail que vous allez recevoir.



  • Informatique Python : voir sur la page PDF du document que je vous ai transmis pour les révisions.

    On ajoutera une séance de Python jeudi 8h-10h quand ça sera disponible



  • BLOUSE à ne pas oublier pour mercredi.  





Programme officiel PSI  pour les dernières semaines 

Hors colle

Hors colle

Hors colle

A faire en Python

Chimie

Hors colle

Pas encore

Programme des exemples sur PYTHON


CHIMIE :  

- calculs de pH, solubilité ou formation de complexes : EXEMPLE 1

- thermochimique : enthalpie libre ou pas, Hess, Kirchhoff, Van’t Hoff, équilibres, déplacements d’équilibres, Le Châtelier

- oxydo-réduction : diagrammes E-pH

- courbes intensité potentiel :

- corrosion et protection contre la corrosion

- Protection contre la corrosion:

- cinétique chimique 

____________________________________

TP et analyse des données  : 


Utilisation en TIPE avec des capteurs : 

____________________________________

PHYSIQUE

- électronique: ALI, oscillateurs,  numérisation, modulation  EXEMPLE 2

- électrostatique : Gauss, dipôles p

 - électromagnétisme : ARQS, transfert de charges, condensateur

- magnétostatique : Ampère, dipôles m

- électromagnétisme : équation de Maxwell, énergie, ferromagnétisme

- conversion : transformateur, contacteur, machine synchrone, machine à courant continu MCC

- ondes mécaniques : cordes.  EXEMPLE 3

- ondes électriques sur un câble

- ondes acoustiques  :

- ondes électromagnétiques dans le vide

- ondes électromagnétiques dans les métaux

- ondes électromagnétiques dans les plasmas dilués

- loi de diffusion particulaire : cas de la diffusion de particules et du modèle de FICK

- loi de diffusion thermique : cas de la diffusion de particules et du modèle de FOURIER



- statique des fluides

- cinématique des fluides

- dynamique des fluides

….

Physique-Chimie-TIPE- TP-Python


lundi 8h à 11h :  

Poly   :  

31- cinématique des fluides








mardi 10h00 à 11h30

Physique


32 - statique des fluides





Mercredi 8h00-10h00 et 10h00 à 12h00

TP Chimie  : on termine le TP de la semaine dernière et on complète avec celui sur la corrosion





Mercredi 14h-16h

TIPE  



Mercredi 16h-18h

Physique   32 - statique des fluides



Jeudi 10h-11h30

Physique   32 - statique des fluides



Programme de colle

                   Programme 19  de colle de Physique-Chimie :

CHIMIE :  

 révisions sur l’oxydo-réduction : tracé de diagramme E-pH, calcul d’une pente, calcul de pH de limite de domaine.

Ajout de la 2e année : enthalpie libre de réaction et sa relation avec -n.F.E, calcul de constante de réaction entre deux couples en fonction de la différence de potentiel standard  

- courbes intensité potentiel :

Identifier le caractère lent ou rapide d'un système à partir des courbes courant-potentiel. Identifier les espèces électro-actives pouvant donner lieu à une limitation en courant par diffusion. Identifier des paliers de diffusion limite sur des relevés

expérimentaux.

Tracer l'allure de courbes courant-potentiel de branches d'oxydation ou de réduction à partir de données fournies, de potentiels standard, concentrations et sur-potentiels.

Piles (Vu) - Electrolyseurs (juste en cours).

- corrosion et protection contre la corrosion

Corrosion uniforme en milieu acide ou en milieu neutre oxygéné : potentiel de corrosion, courant de corrosion.

Corrosion d'un système de deux métaux en contact.

Protection contre la corrosion:

- revêtement ;

- anode sacrificielle;

- protection électrochimique par potentiel et courant imposé.

- phénomène de PASSIVATION

Révisions de cinétique chimique:

- ordre ; réaction élémentaire, rôle des mécanismes

- temps de demi-vie

- dégénérescence d’ordre

PHYSIQUE

- ondes mécaniques : cas de la corde tendue, établissement de l’équation de d’Alembert à partir du TCI sur un petit élément de corde (dans le cas d’un déplacement de faible amplitude), onde transversale, célérité, notation complexe pour l’onde, cas de la réflexion parfaite sur un point de fixation ou une perle ou une interface, déphasage à la réflexion, superposition d’une onde incidente et de l’onde réfléchie = onde stationnaire, cas des noeuds de vibration // corde de Melde  (régime forcé) // masse attachée à la corde //  cas de deux points fixes// Instruments à corde (révisions de 1ère année) //


- ondes électriques sur un câble  : cours ou exemple simple basé sur les équations électriques et les deux paramètres i(x,t) et u(x,t), notion d’équation de d’Alembert, impédance Z, u = +Z.i ou -Z.i en fonction du sens de propagation, (les cas de réflexion sur une impédance au bout du câble seront faits en TP ce mercredi)


- ondes acoustiques   :

Approximation acoustique.  

Équation de d'Alembert pour la surpression p(x,t). 

Célérité.  Ondes planes progressives harmoniques. 

Onde longitudinale.  Impédance acoustique. 

Onde sonore sphérique harmonique divergente. 

 Instruments à vent (révisions de 1ère année) : noeuds de pression ou de vitesse

Puissance, Poynting, intensité sonore

- ondes électromagnétiques dans le vide

Équation de d’Alembert, polarisation, mode TE, TM ou TEM

Réflexion sur un métal parfait (vu l’onde dans le métal et épaisseur de peau), onde stationnaire, « cavité » entre deux plans //

Polariseur et analyseur, loi de Malus

- ondes électromagnétiques dans les métaux

Relation de dispersion, onde progressive amortie, épaisseur de peau

- ondes électromagnétiques dans les plasmas dilués

Relation de dispersion, ondes évanescentes

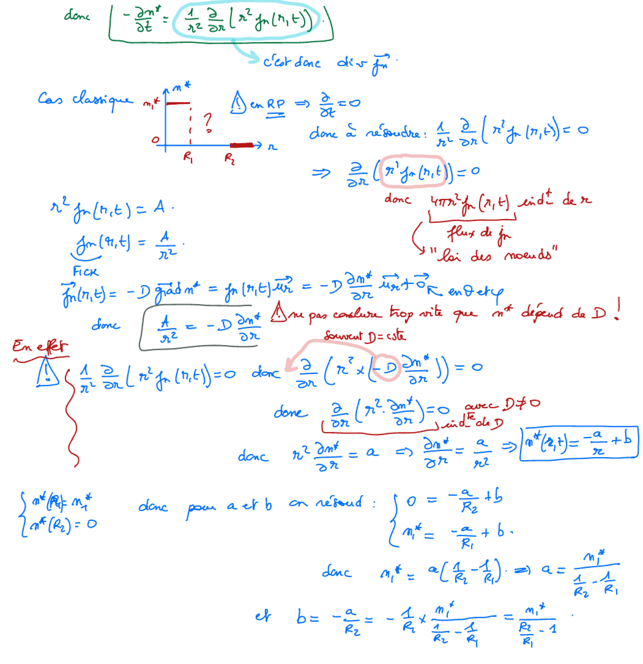
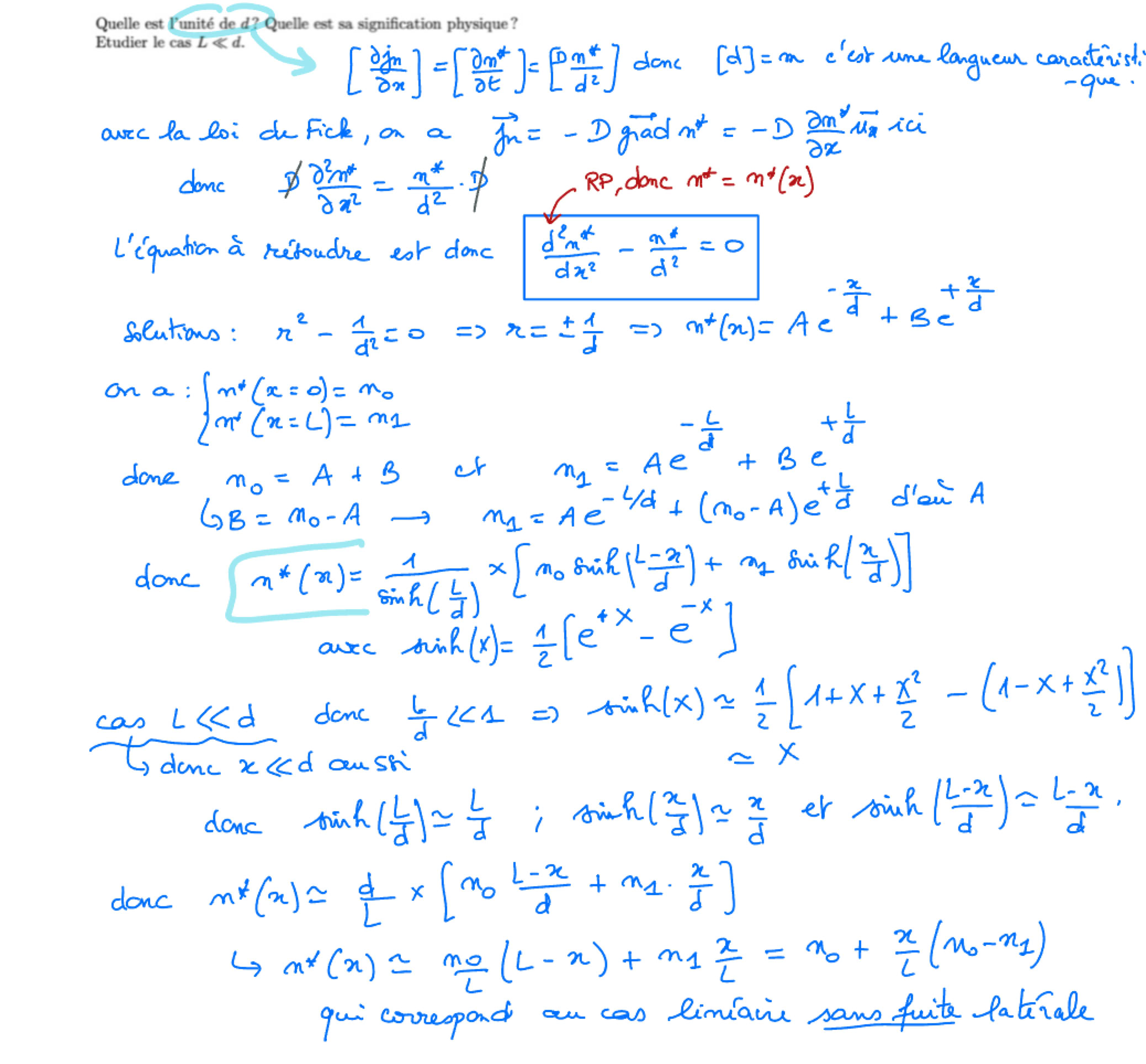
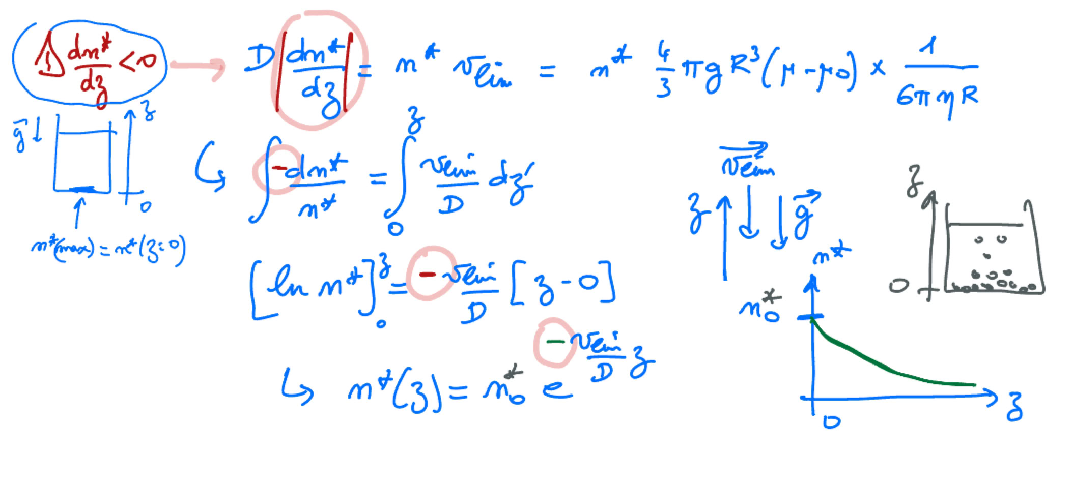
- loi de diffusion : cas de la diffusion de particules et du modèle de FICK

Loi de Fick, équation de la diffusion de particules

- loi de diffusion thermique : modèle de FOURIER

Loi de Fourier, équation de la diffusion (« de la chaleur »), cas en RP, cas de l’AEQS, équivalent électrique : résistance thermique et capacité calorifique, modèle du circuit RC, onde thermique, onde progressive amortie


Cas de la barre calorifugée, de l’isolation de murs, du pont thermique, de l’igloo


Pas vu : mammifère marin, ailette de refroidissement, source interne d’énergie

Questions de cours pour la colle

Les 6 questions de cours : 


1- protection du fer : cas de Zn, d’une peinture, d’une polarisation par un générateur 

2- équations couplées pour deux circuits : pour le primaire et le secondaire d’un transformateur, en citants les inductances propres et mutuelle

3- intérêt d’un diagramme i-E : décrire le cas d’une pile

4-  loi des intensités et des tensions pour les transformateurs

5- Champ E créé par une sphère chargée en volume : par Maxwell-Gauss

6- Champ B créé par un cylindre infini de rayon R parcouru en volume par un courant volumique axial : par le th d’Ampère et par l’équation de Maxwell-Ampère

Diffusion de particules : exercices

Diffusion thermique : exercice sur l’igloo

Diffusion de particules (FICK) : exercice  

Diffusion thermique : exercice