WebMaster : O.GRAS

Enseignant Sc. Physiques CPGE spé PSI

Création du site :1er juin 2020

Mise à jour : 20 mars 2026

Semaine calendaire 4 du 19 au 25 janvier 2026

 

SOMMAIRE : 


- programme officiel

- programme de colle 15

- programme de la semaine

 - données sur les ondes sur une corde

- exercices

- base de Frenet

- exemples successifs pour les courbes i-E


Objectifs






Rédaction MCOT et avancement du TIPE afin de pouvoir repositionner chaque sujet 





DL 6

TP (câbles)  pour jeudi

Programme officiel PSI  pour la semaine

Théorème de Ferraris

Hors colle

Hors colle

Hors colle

Chimie, notion de potentiel chimique

Lois de Le Châtelier

Pas encore

TP sur les ondes sur les câbles co-axiaux

Programme de colle

                   Programme 15 de colle de Physique-Chimie :

SAVOIR : 

CHIMIE :  quotient de réaction Q , prévision du sens d’évolution d’une réaction par le rapport K/Q + lois de Le Châtelier

+ révisions sur l’oxydo-réduction : tracé de diagramme E-pH, calcul d’une pente, calcul de pH de limite de domaine.

Ajout de la 2e année : enthalpie libre de réaction et sa relation avec -n.F.E, calcul de constante de réaction entre deux couples en fonction de la différence de potentiel standard  (bientôt les courbes intensité potentiel)

PHYSIQUE

- Moteur synchrone : expression du couple exercé sur un dipôle magnétique soumis à un champ B tournant, champ tournant créé par une bobine ou deux bobines alimentées en courant sinusoïdal. Energie dans l’entrefer : parfois donnée et calcul du couple ensuite.

- HACHEUR série (dévolteur) : cours et exemples sur le bloc de deux interrupteurs, lissage par une bobine, cas du courant i sans interruption, modèle à haute fréquence linéarisé, établissement du courant dans R et des pentes à partir des équations différentielles selon l’intervalle de temps (en fonction du taux de hachage \alpha), utilisation des pentes pour établir l’expression de la fluctuation de courant, utilisation de la tension moyenne nulle aux bornes de L pour démontrer l’expression de la tension moyenne aux bornes de R

- Hacheur parallèle, pont de 4 diodes, onduleur à 4 interrupteurs.

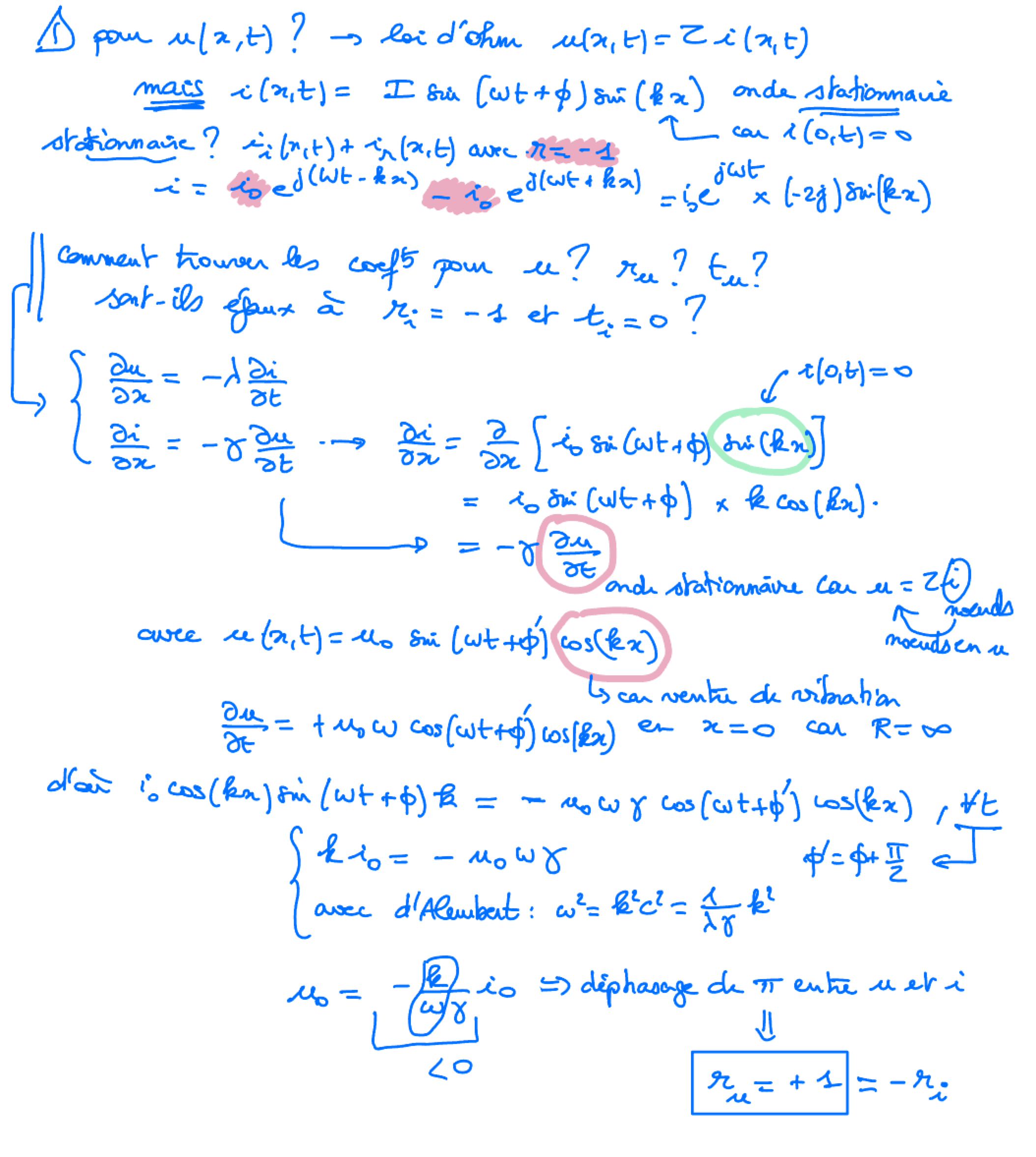
- ondes mécaniques : cas de la corde tendue, établissement de l’équation de d’Alembert à partir du TCI sur un petit élément de corde (dans le cas d’un déplacement de faible amplitude), onde transversale, célérité, notation complexe pour l’onde, cas de la réflexion parfaite sur un point de fixation, déphasage à la réflexion, superposition d’une onde incidente et de l’onde réfléchie = onde stationnaire, cas des noeuds de vibration // corde de Melde  // masses attachées à la corde //  cas de deux points fixes// Instruments à corde (révisions de 1ère année) //

- ondes électriques sur un câble électrique :  basé sur les équations électriques et les deux paramètres i(x,t) et u(x,t), notion d’équation de d’Alembert, impédance Z, u = +Z.i ou -Z.i en fonction du sens de propagation, (les cas de réflexion sur une impédance au bout du câble seront faits en TP ce mercredi)

Questions de cours pour la colle

Les 6 questions de cours : 


1- Cristallographie (révision) : compacité d’un cristal CFC

2- Décrire la géométrie des courants de Foucault dans le cas d'un conducteur cylindrique soumis à un champ magnétique parallèle à son axe, uniforme et oscillant. Exprimer la puissance dissipée par effet Joule en négligeant le champ propre et expliquer le rôle du feuilletage.

3- calcul du champ B pour câble coaxial (cylindre creux extérieur + Cylindre plein intérieur) en tout point M

4-  force magnétique F exercée par un matériau en U bobiné avec N spires et attirant un barreau droit horizontal

5- (SUP) Lois de vitesse en cinétique : réactions sans ordre, réactions avec ordre simple (0,1,2), ordre global, ordre apparent. Temps de demi-vie d'un réactif, temps de demi-réaction. 

6- Décrire la structure d'un moteur à courant continu MCC bipolaire à excitation séparée : rotor, stator, induit, inducteur. Établir les équations électrique et mécanique.

Physique-Chimie-TIPE- TP-Python


lundi 8h à 11h15 :  

Poly   :  ondes 1D +



mardi 10h00 à 11h30

Courbes intensité-potentiel (2)







  • mercredi 8h-10h et 10h-12h :
    TP    :  Onde électrique (ligne et câble coaxial)












  • mercredi 12h-13h rien

  • mercredi 14h-16h
    Poly Ondes acoustiques



  • mercredi 16h-18h : TIPE
    MCOT

  • jeudi 10h-11h30 :
    Poly ondes acoustiques
    Cours + TD
  • vendredi 14h-16h
    ondes acoustiques : TD

TIPE sur SCEI

Onde avec vitesse de groupe et de phase différentes

Ondes 1D

Ondes sur une corde

Question intéressante : 

a.  Il y a la propagation du basculement d’un domino donc c’est une onde.

b. Voilà la question intéressante… avez-vous une idée ? ;-)

Tracés spatial ou temporel : 

Travail sur le poly 25 : 

Attention : pour les cordes, il y avait UN SEUL paramètre y(x,t) avec ses coefficients de réflexion et transmission, ici, il y a DEUX paramètres i(x,t) et u(x,t) et donc 2 x 2 = 4 coefficients

Exercice sur les cordes : 

Travail sur le poly 25 :  suite en TP 

Cours