WebMaster : O.GRAS

Enseignant Sc. Physiques CPGE spé PSI

Création du site :1er juin 2020

Mise à jour : 10 janvier 2026

Semaine calendaire 3 du 12 au 18 janvier 2026

 

SOMMAIRE : 


- programme officiel

- programme de colle 14

- programme de la semaine

 - données sur les ondes sur une corde

- exercices


Objectifs




Interro  lundi, sur le programme  « hacheurs » qui a été décalée







Programme officiel PSI pour la rentrée ainsi que pour la colle 14

Théorème de Ferraris

Hors colle

Hors colle

Hors colle

Chimie, notion de potentiel chimique

Hors colle

Lois de Le Châtelier

Programme de colle

                   Programme 14 de colle de Physique-Chimie :

SAVOIR : 


CHIMIE :  quotient de réaction Q , prévision du sens d’évolution d’une réaction par le rapport K/Q + lois de Le Châtelier

+ révisions sur l’oxydo-réduction : tracé de diagramme E-pH, calcul d’une pente, calcul de pH de limite de domaine.

Ajout de la 2e année : enthalpie libre de réaction et sa relation avec -n.F.E, calcul de constante de réaction entre deux couples en fonction de la différence de potentiel standard 

PHYSIQUE

- milieu magnétique : cycle d’hysteresis + pertes par hysteresis, champ rémanent, champ coercitif, effet mémoire, définition de H et M + le cas idéal (cours et TP) du  transformateur avec relations en tensions et courants + adaptation d’impédance.

- Circuits magnétiques : théorème d’Ampère, notion de réluctance R, de flux magnétique et loi de Hopkinson (semblable à la loi d’Ohm), associations série et parallèle de réluctances, notion d’entrefer et de champ amplifié dans le matériau et/ou dans l’entrefer, analogie avec les ALI.

- Moteur synchrone : expression du couple exercé sur un dipôle magnétique soumis à un champ B tournant, champ tournant créé par une bobine ou deux bobines alimentées en courant sinusoïdal. Energie dans l’entrefer : parfois donnée et calcul du couple ensuite.

- HACHEUR série (dévolteur) : cours et exemples sur le bloc de deux interrupteurs, lissage par une bobine, cas du courant i sans interruption, modèle à haute fréquence linéarisé, établissement du courant dans R et des pentes à partir des équations différentielles selon l’intervalle de temps (en fonction du taux de hachage \alpha), utilisation des pentes pour établir l’expression de la fluctuation de courant, utilisation de la tension moyenne nulle aux bornes de L pour démontrer l’expression de la tension moyenne aux bornes de R

- Hacheur parallèle, pont de 4 diodes, onduleur à 4 interrupteurs.

- ondes mécaniques : cas de la corde tendue, établissement de l’équation de d’Alembert à partir du TCI sur un petit élément de corde (dans le cas d’un déplacement de faible amplitude), onde transversale, célérité, notation complexe pour l’onde, 


// pas encore : cas de la réflexion parfaite sur un point de fixation, déphasage à la réflexion, superposition d’une onde incidente et de l’onde réfléchie = onde stationnaire, cas des noeuds de vibration // pas encore la corde de Melde ni d’exemples de cordes de masse linéique non uniforme ni avec des masses attachées à la corde, ni le cas de deux points fixes//


Questions de cours pour la colle

Les 6 questions de cours : 

1- comparaison du diagramme de prédominance entre le cas des couples acide/base et les couples de complexes

2- modèle de Drude

3- calcul du champ B pour câble coaxial (cylindre creux extérieur + Cylindre plein intérieur) en tout point M

4-  force magnétique F exercée par un matériau en U bobiné avec N spires et attirant un barreau droit horizontal

5- rails de Laplace avec une barre lancée avec une vitesse initiale non nulle

6- transformateur idéal + origine des pertes cuivre et fer du transformateur réel

Physique-Chimie-TIPE- TP-Python


lundi 8h à 11h00 :  

Poly   :  ondes mécaniques 1D sur une corde +



 


mardi 10h00 à 12h00

ondes mécaniques 1D sur une corde

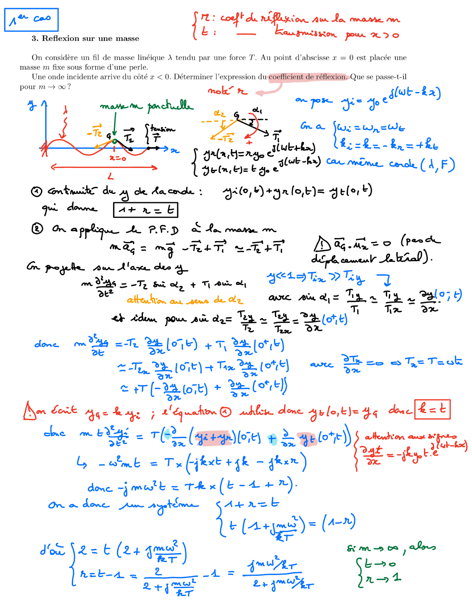
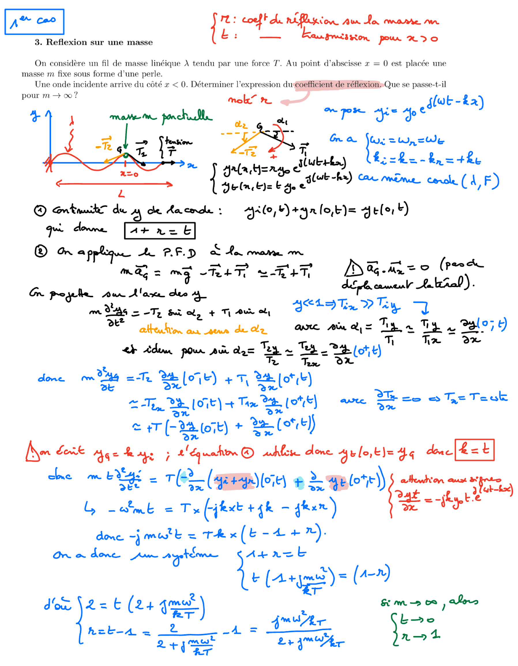
Exercice : deux milieux (coefficients r et t) + perle sur une corde








  • mercredi 8h-10h et 10h-12h : 1 seule séance en classe entière
    TP    :  Arduino et PWM pour commander une MCC ()
       





  • mercredi 12h-13h rien

  • mercredi 14h-16h

    voir plus bas cours + TD


  • mercredi 16h-18h : TIPE


  • jeudi 10h-11h30 :
    Poly
    Cours + TD
    Courbes intensité-potentiel

TIPE sur SCEI

Onde avec vitesse de groupe et de phase différentes

Ondes 1D

Ondes sur une corde

Question intéressante : 

a.  Il y a la propagation du basculement d’un domino donc c’est une onde.

b. Voilà la question intéressante… avez-vous une idée ? ;-)

Tracés spatial ou temporel : 

Travail sur le poly 25 : 

Attention : pour les cordes, il y avait UN SEUL paramètre y(x,t) avec ses coefficients de réflexion et transmission, ici, il y a DEUX paramètres i(x,t) et u(x,t) et donc 2 x 2 = 4 coefficients

Exercice sur les cordes : 

Cours sur les courbes intensité-potentiel