Semaine 43 du 20 au 26 octobre 2025

+ semaine 44 du 27 octobre au 2 novembre 

WebMaster : O.GRAS

Enseignant Sc. Physiques CPGE spé PSI

Création du site :1er juin 2020

Mise à jour : 10 janvier 2026

Lorem ipsum dolor sit amet, consectetur adipiscing elit. Aliquam tincidunt lorem enim, eget fringilla turpis

Programme des conférences  au lycée sur le thème des « miroirs »

SOMMAIRE : 

- programme des conférences au lycée

- programme officiel

- exercices corrigés

— CULTURE — Programme de la conférences du 21 novembre 2024 sur le thème de la Physique Quantique : « les deux révolutions quantiques »

En cette période de remise de prix Nobel, je vous rappelle qu'une conférence de M. Alain ASPECT, Prix Nobel de Physique 2022 a eu lieu le 21 novembre 2024 à 14h30 à la Maison de la Culture à Amiens.  Cet évènement était organisé par le département de physique de l'UFR des sciences de l'Université Picardie Jules Verne. L'entrée est libre, la durée estimée est de deux heures avec les questions. Le contenu porte sur la physique quantique et plus particulièrement sur l'intrication quantique, sujet pour lequel M. ASPECT a reçu le prix Nobel.  La conférence est accessible à tous les publics. Rencontrer un chercheur de renommée internationale qui sait rendre accessible et compréhensible ses thématiques de recherche est une véritable chance pour les élèves de se voir présenter de façon rigoureuse et enthousiasmante les concepts de physique et leurs applications dans notre société. Vous trouverez plus d'informations sur le site disciplinaire : http://spc.ac-amiens.fr/976-conference-alain-aspect-prix-nobel-physique-chimie.html


Je peux vous donner un lien vers la vidéo complète ou partielle.

Je pourrai vous faire un résumé ou vous pouvez demander aux 5/2

Programme officiel PSI

Devoir 5 (surtout pour 5/2) et devoir 6 (pour 5/2 et 3/2) : énoncés

Les sujets sont sur ProNote

Exercices corrigés : divers exemples

Dipôles électrostatiques (poly 8-bis)

Vecteur densité de courant : TD poly 9 et devoir de révision 1

Electrostatique :  TD poly 8  et devoir de révision 1 CORRECTION

Envoyé par e-mail et sur ProNote

Electrostatique :  dipôles dans TD poly 8bis

Electrostatique :   champ d’une sphère, calculé avec l’équation locale

Electrostatique :   champ d’un cylindre, calculé avec l’équation locale

Vecteur densité de courant : cours poly 9 

Vecteur densité de courant : TD poly 9 

Opérateur divergence et flux : cas d’une surface cubique (sur poly 8)

Il s’agit d’un exemple donné en colle. Cela montre la difficulté calculatoire de bien finir un calcul de flux lorsque l’on n’est pas dans le cas simple d’une surface de Gauss. Ici le champ E n’est pas uniforme sur les faces, à part sur 2 faces à y = cste, donc on ne peut le faire sortir du calcul intégral comme quand on applique le Th de Gauss, par exemple sur une sphère pour un champ radial.

Circulation : cas d’une courbe circulaire avec E quelconque (sur poly 8)

Il s’agit d’un exemple donné en colle. Cela montre la difficulté calculatoire de bien finir un calcul de circulation lorsque l’on n’est pas dans le cas simple d’un contour comme avec le potentiel ou à la rentrée avec un contour d’Ampère.  Ici le champ E n’est pas uniforme sur le contour circulaire, donc on ne peut le faire sortir du calcul intégral comme pour les calculs de différence de potentiel, qui donne carrément un résultat indépendant du « chemin » et ne dépend plus que des bornes.

https://fr.wikiversity.org/wiki/Analyse_vectorielle/Fiche/Formulaire_d%27analyse_vectorielle

Calcul direct du champ créé par une répartition sphérique surfacique : LONG !!

Conclusion : vive le théorème de Gauss

Vecteur densité de courant : TD poly 9 

Vecteur densité de courant : TD poly 9 

Révisions sur les oscillateurs : feuille de TD du poly 4 (cf semaine 4)

Les deux autres oscillateurs : 1) oscillateur quasi-sinus avec amplificateur et filtre passe-bande 2) oscillateur de relaxation (voir les pages précédentes)

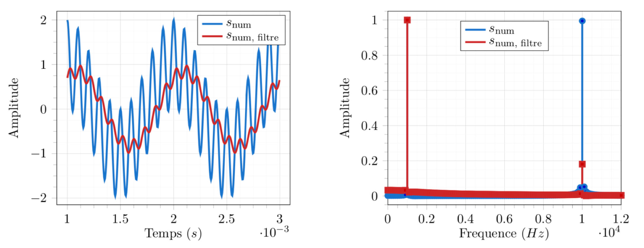
Filtre passe-bas numérique : rôle sur un signal

Code Python

Effet du filtre sur le signal d’entrée bleu :
atténuation de l’amplitude de la haute fréquence

Filtre passe-haut numérique