WebMaster : O.GRAS

Enseignant Sc. Physiques CPGE spé PSI

Création du site :1er juin 2020

Mise à jour : 10 janvier 2026

Semaine calendaire 46 du 10 au 16 novembre 2025

 

Programme de la semaine


Lundi : interro pas faite jeudi dernier 


Mardi 11nov : férié




Samedi :  



Prévoir à l’avance les révisions pour le DS  de Physique-Chimie du 22/11 = sur le programme principalement des semaines de colle 3 à 7 + révisions sur le sujet du DS1  

SOMMAIRE : 

- programme du DS

- programme des conférences 

- programme officiel

- programme de colle 7

- planning de la semaine

- - 

Polycopiés de cours et TD  : 

Lorem ipsum dolor sit amet, consectetur adipiscing elit. Aliquam tincidunt lorem enim, eget fringilla turpis congue vitae. Phasellus aliquam nisi ut lorem vestibulum eleifend. Nulla ut arcu non nisi congue venenatis vitae ut ante. Nam iaculis sem nec ultrices dapibus. Phasellus eu ultrices turpis. Vivamus non mollis lacus, non ullamcorper nisl. Pellentesque habitant morbi tristique senectus et netus et malesuada fames ac turpis egestas. Phasellus sit amet scelerisque ipsum. Morbi nulla dolor, adipiscing non convallis rhoncus, ornare sed risus.
Sed adipiscing eget nibh at convallis. Curabitur eu gravida mauris, sit amet dictum metus. Sed a elementum arcu. Proin consectetur eros vitae odio sagittis, vitae dignissim justo sollicitudin. Phasellus non varius lacus, aliquet

Programme officiel PSI

Pas au programme 7

Chimie, notion de potentiel chimique

Pas au programme 7

Programme de colle

                   Programme 7 de colle de Physique-Chimie :

SAVOIR : 

 — calcul de champ E : direct (exemples très très simples), avec V (exemples très simples), avec le th de GAUSS + laplacien + loi de Laplace ou de Poisson

— loi d’Ohm locale, vecteur densité de courant, modèle de Drude, expression de résistances R (9)

condensateurs : cas plan et cylindrique, expression la capacité C (10)

dipôle électrostatique p : expression du potentiel V et du champ E (8bis)

— champ magnétique B dans le cas statique, Biot et Savart, conservation du flux, équation locale de Maxwell-Ampère dans le cas statique

— cas du théorème d’Ampère

équations de Maxwell : loi de conservation de la charge, les 4 équations de Maxwell, équation de Maxwell Gauss pour calculer un champ E avec l’expression de div(), équation de Maxwell Ampère pour calculer un champ B avec l’expression de rot()

(Pas encore d’utilisation de Maxwell Faraday et de l’induction)

chimie : utilisation de la loi de Kirchhoff 1 pour calculer l'enthalpie de réaction standard à une autre température que 298K, cas d'une température de flamme; Kirchhoff avec S 

+ définition du potentiel chimique en question très proche du cours (pas encore vu d’exercices) : identités thermodynamiques (dH, dG), expression de S en fonction de la dérivée de G par T, relation de Gibbs-Helmholtz, dG négatif démontré pour une réaction spontanée, potentiel chimique et enthalpie libre molaire, identité d’Euler, relation de Gibbs-Duhem, volume molaire et entropie molaire en fonction des dérivée du potentiel chimique, démonstration : la quantité d’une espèce diminue si son potentiel chimique est plus élevé  (Pas encore l’expression de l’affinité sous forme de log(), + pas encore l’action de la pression ou le sens des échanges thermiques.)

Questions de cours pour la colle

Les 6 questions de cours : 

1- Résistances d’entrée des montages à ALI ampli inverseur et non inverseur, après avoir démontré les fonctions de transfert

2- Calcul rapide de la période T d’un oscillateur de type multivibrateur astable (poly 4, § 2.1)

3- Dosage d’un diacide faible par une base forte : tracé de l’allure de la courbe en justifiant les points particuliers (volumes et pH)

4-  Potentiels chimiques : démonstration pour deux corps A et B que le sens de déplacement de la réaction dn_1>0 impose une inégalité entre les potentiels chimiques \mu_1 et \mu_2

5- Oscillateur à résistance négative : montage RLC et montage -R à ALI

6- Cas d'un filtre RLC série, tension aux bornes de C = filtre passe-bas, cas de résonance de tension (poly 2, §3.8 )


Physique-Chimie-TIPE- TP-Python


lundi 8h à 11h00 :  

Cours sur les potentiels chimiques (fin)
COURS poly 12








mardi : 

 Férié
















 

Corrigé de l’interro 5 de 2023 pour vous entrainer

….

Exercices corrigés : 

Femme écrivant Sur Un Tableau Blanc

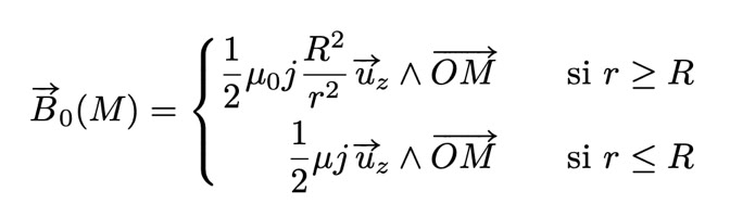
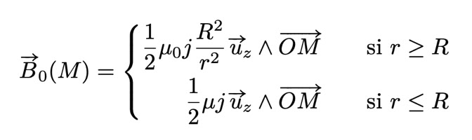
POLY 11 : champ B

 13 superposition ou 

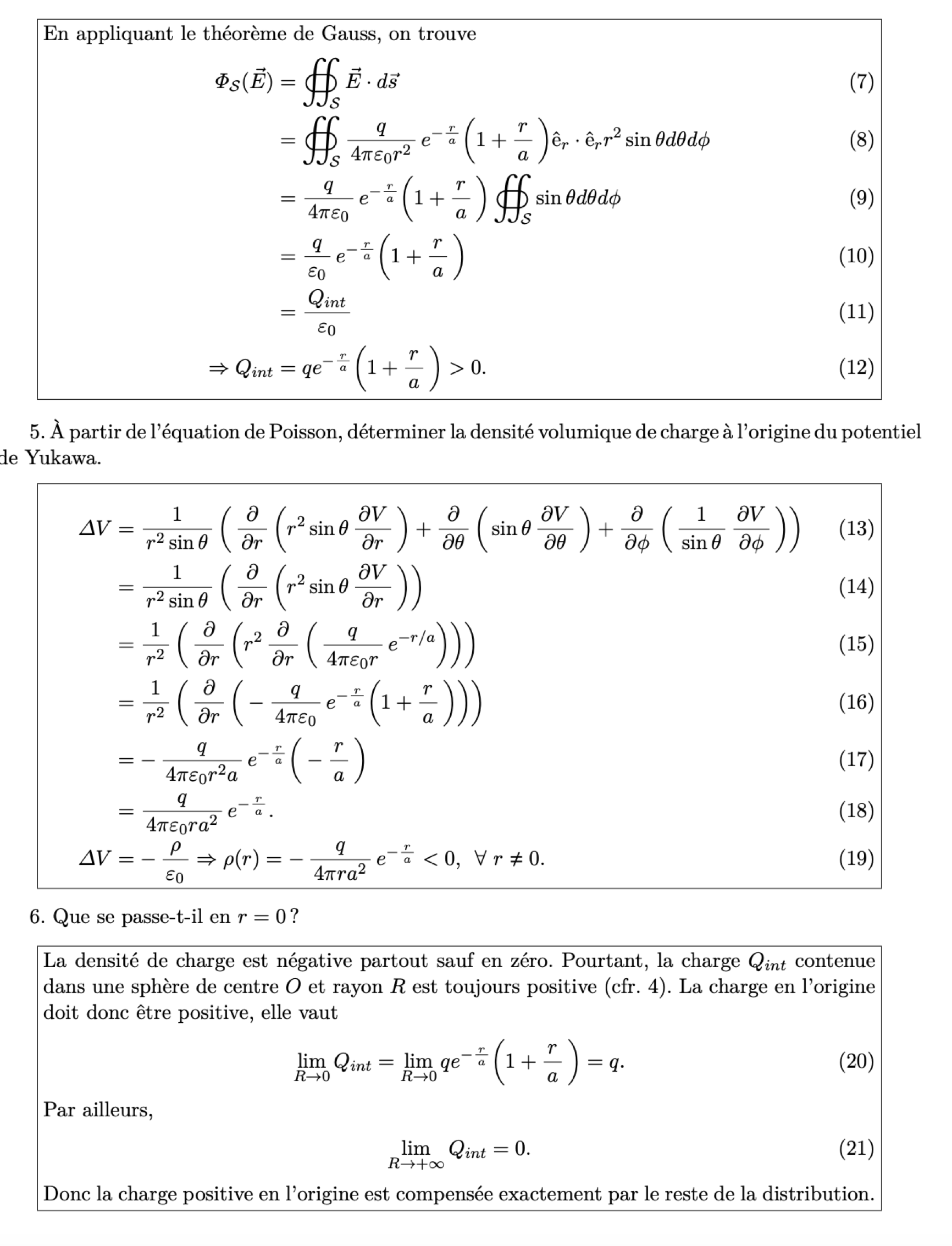
Exercice donné en colle (corrigé) :  potentiel de Yukawa en électrostatique

a

CHIMIE, Exercice donné en DL (corrigé) :  utilisation des énergies de liaisons

Chimie, Température de flamme : exercice supplémentaire

Méthode :  l’enthalpie de réaction (souvent) à 298K sert ensuite à modifier la température des espèces présentes après la réaction  car la transformation est qualifiée d’adiabatique (aucune énergie thermique n’est transférée à l’extérieur